盤錦基地有自己的研發實驗室,具有豐富的小試,中試及放大生產經驗,可在短時間內完成新產品的開發和工藝優化。本公司擅長的有機合成主要類型有:格氏反應,溴化反應、催化加氫反應、相轉移催化反應等。
1. 格式反應及有機鋰反應制備醛,酮,酸,硼酸


產品:3,5-Bis(trifluoromethyl)acetophenone, 3,5-Bis(trifluoromethyl)benzaldehyde, 2-(trifluoromethyl)acetophenone, 2-(trifluoromethyl)benzaldehyde,3,5-difluorobenzaldehyde, 3,5-difluoroacetophenone, 3,4-difluorobenzaldehyde,
2. 鹵化反應:
(1)芳香環溴化,氯化:

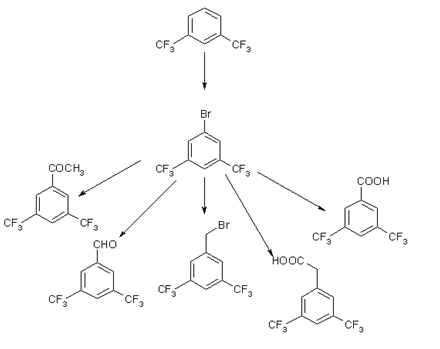
產品:3,5-Bis(trifluoromethyl)bromobenzene,尼洛替尼中間體
(2)酮的α溴化:

產品:2-bromo-3’,5’-Diacetoxyacetopheone, 2-bromo-4’-(trifluoromethyl)acetophenone,3-溴-1,1,1-三氟丙酮,1,1-二溴-3,3,3-三氟丙酮
(3) 雜環羥基轉化為氯

產品:4-氯吡咯并嘧啶,2,4-二氯吡咯并嘧啶
(4)重氮化溴化:
產品:4-溴吡啶鹽酸鹽,2-chloro-5-bromotrifluoromethylbezene
3. 氫化反應:
4. 氧化反應
5. 氯甲基化:2-氯-5-三氟甲基卞醇,2,4-二氟卞胺,
6. 雜環制備:
北京金奧利維科技發展有限公司 版權所有(C)2021 網絡支持 中國化工網 全球化工網 生意寶 網盛建站 著作權聲明 京ICP備18032018號